Olympus portable XRF instruments, such as the Vanta™ XRF analyzer, play an important role in the exploration and development of porphyry deposits in the minerals industry. This application note demonstrates how the Vanta XRF analyzer can accurately measure common elements of interest in porphyry exploration and mining, as well as elements useful to determine the fertility of porphyry systems.
The search for porphyry geological systems is attractive to mineral exploration and mining companies as they can often be very large, polymetallic deposits of enormous economic value. Typically mined using lower cost open pit methods and with long mine lives (detailed in the diagram below), porphyry systems account for most copper (Cu) and molybdenum (Mo) mined in the world today, and about a quarter of all gold (Au).1
![]() | ![]() |
Figure 1. Anatomy of a telescoped porphyry Cu system showing spatial interrelationships of a centrally located porphyry Cu ± Au ± Mo deposit in a multiphase porphyry stock and its immediate host rocks (reproduced here with the permission of Dick Sillitoe). Original figure from SEG journal “Economic Geology” Handheld X-ray Fluorescence Mineral Exploration |
Much work has been done by the minerals industry in collaboration with academia to increase the understanding of the genesis of these deposits, the potential of porphyry deposit fertility, and to develop techniques to efficiently vector toward them during mineral exploration programs.2, 3, 4, 5
pXRF Performance on Common Porphyry Constituent Elements
The data below illustrates the out-of-box performance of the Vanta™ pXRF on a range of certified reference materials (CRMs) in the Porphyry Copper and IOCG (iron oxide copper gold) pXRF Commodity Kit supplied by OREAS (Ore Research and Exploration Assay Standards). Excellent correlation between CRM data and Vanta pXRF shows the Vanta pXRF can provide excellent data quality on fully prepared samples from these deposit types.

Figure 2. Vanta pXRF performance of elements in porphyry copper and IOCG compared to assay values using various kits supplied by OREAS.
In addition, much data is publicly available that shows how the Vanta pXRF can produce high-quality data on partially prepared and unprepared samples. You can view some of this data in the following resources:
- Handheld XRF for Soil Surveys: Geochemistry of Rock Outcrops, Soils, and Sediments
- Handheld XRF in Exploration Drilling: Reverse Circulation/Rotary Air Blast and Diamond Core
- Portable XRF for Gold (Au) and Au Pathfinders for Mineral Exploration and Ore Body Vectoring
Using pXRF for Porphyry Fertility Indicators
Differing combinations of ratios of strontium (Sr), yttrium (Y), manganese(II) oxide (MnO), silicon dioxide (SiO2), and zirconium (Zr) as measured in the lab have been identified as potentially effective discriminators between ore-forming and unprospective intrusions in the porphyry Cu setting. Recently, both the University of Tasmania’s Centre for Ore Deposits and Earth Sciences (CODES) in Australia and the School of Geography, Geology, and Environment at the University of Leicester in the UK have performed research to study the potential of using pXRF to help explorers assess porphyry fertility in the field on prepared and unprepared samples.
In a paper1 published in 2019 in Geology Exploration, Environment, Analysis (GEEA), the team from CODES demonstrated that:
- Based on a global compilation of lab data, whole-rock values of Sr/Y and Sr/MnO can effectively discriminate between ore-forming and unprospective intrusions in the porphyry Cu environment
- pXRF data, calibrated to conventional whole-rock data, can be used in place of conventional whole-rock analytical data to inform the Sr/Y v. Sr/MnO Cu prospectivity discrimination diagram
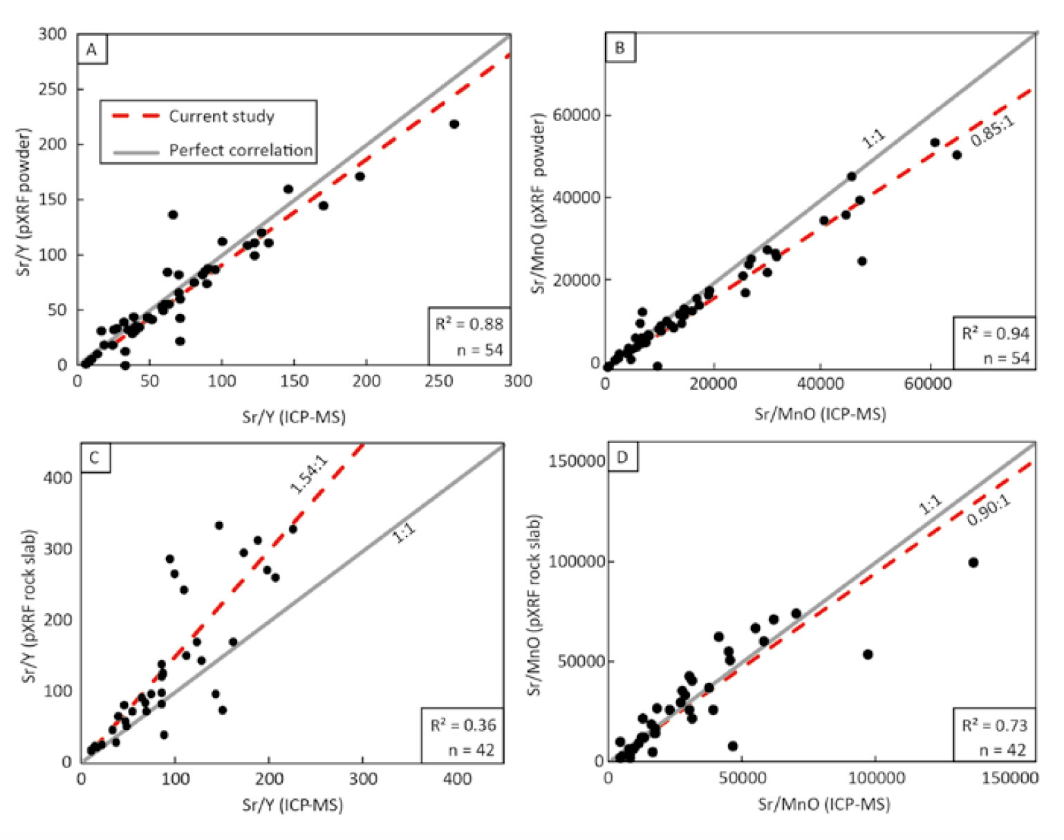
The CODES team presented comparisons of conventional ICP-MS/ICP-ES (inductively coupled plasma mass spectrometry and emission spectrometry) and pXRF results from six mineralized districts: (1) the Yerington porphyry Cu (±Mo-Au) district, USA; (2) the Resolution porphyry Cu-Mo deposit, USA; (3) the Las Bambas Cu-Fe skarn district, Peru; (4) the Cadia Cu-Au district, Australia; (5) the Northparkes Cu-Au district, Australia; and (6) the Cowal Cu-Au district, Australia.
By evaluating the accuracy and precision of pXRF data collected from both pulp material (120 mesh) and intact rock slabs (up to 0.5 cm grain size) and comparing the results of conventional ICP-MS/ICP-ES whole-rock data, the CODES paper demonstrated that pXRF data can be successfully acquired directly from unprocessed rocks in the field to assess the ore forming potential of intrusions.

Figure 3. CODES study—comparisons between the pXRF data and conventional lab data for different sample media. (a) Sr/Y: pXRF data from pulp material in press cups and ICP-MS/ICP-ES data. (b) Sr/MnO: pXRF data from pulp material in press cups and ICP-MS/ICP-ES data. (c) Sr/Y: pXRF data from intact rock slabs and ICP-MS/ICP-ES data. (d) Sr/MnO: pXRF data from intact rocks slabs and ICP-MS/ICP-ES data.

Figure 4. CODES study—The pXRF data of the pre-, syn-, and post-mineralization intrusive rocks from six porphyry Cu and skarn districts plotted on Sr/MnO v. Sr/Y diagrams using the fertility fields. The sample medium analyzed for each district is listed here. (a) Yerington district, USA; rock slabs only. (b) Resolution deposit, USA; rock slabs. (c) Las Bambas district, Peru; rock slabs. (d) Cadia district, Australia; pulp powders. (e) Cowal district, Australia; pulp powders and rock slabs. (f) Northparkes district, Australia; pulp powders.
Recent work presented at the 43rd Annual Meeting of the Mineral Deposits Study Group in London by Marquis et al. assessed the performance of the Vanta™ pXRF on a suite of samples showing a mixture of positive and neutral fertility signals (Sr/Y vs. SiO2 and Sr/Y vs. Zr) subjected to a range of sample preparation methods.6 The same samples were tested under the following conditions:
- Point and Shoot: no preparation, instrument nose in direct contact with media surface.
- Field Mill or Mortar: fragmentation and milling of hard media to ~200 μm in the field.
- Lab-Type: Milling and homogenization of a dry material to 125 μm in a lab setting. Compacted into a pellet with smooth surface.
![]() | Figure 5. University of Leicester study—(a) Sr/Y versus SiO2 discrimination plot commonly used as a fertility indicator. (b) Sr/Y versus Zr showing the better precision and accuracy of Zr compared to SiO2. Reproduced with permission from the University of Leicester. |
This study found that the Vanta analyzer worked well on prepared samples but could not accurately resolve SiO2 on crushed or intact rocks. This is to be expected due to the heterogenous nature of these samples and its inherent impact on lighter elements measured with pXRF. However, the better accuracy of heavier trace elements, such as Zr, allows them to be used instead of silica, even on field samples, as an indicator of porphyry fertility.

Figure 6. Scans of some OREAS Cu porphyry samples with in-line, real-time calculation of the fertility.
Using the Pseudo Elements function on the Olympus Vanta™ pXRF, any ratios of interest can be displayed on the screen of the instrument at any time. Also, the compound display feature enables the Vanta analyzer to display the oxide associated with individual elements. These calculations are done on the instrument as the tests are being taken, as shown above.
Vanta pXRF instruments can be used as powerful tools to better explore and mine porphyry geological systems. To learn more about the Vanta pXRF analyzer, reach out to your local sales representative to set up a demonstration or contact us online at www.olympus-ims.com.
References
- Sillitoe, R.H., 2010. Porphyry copper systems. Economic geology, 105(1), pp.3–41.
- Houston, R.A. and Dilles, J.H., 2013. Structural geologic evolution of the Butte district, Montana. Economic Geology, 108(6), pp.1397–1424.
- Wilkinson, J.J., Chang, Z., Cooke, D.R., Baker, M.J., Wilkinson, C.C., Inglis, S., Chen, H. and Gemmell, J.B., 2015. The chlorite proximitor: A new tool for detecting porphyry ore deposits. Journal of Geochemical Exploration, 152, pp.10–26.
- Ahmed, A., Crawford, A.J., Leslie, C., Phillips, J., Wells, T., Garay, A., Hood, S.B. and Cooke, D.R., 2020. Assessing copper fertility of intrusive rocks using field portable X-ray fluorescence (pXRF) data. Geochemistry: Exploration, Environment, Analysis, 20(1), pp.81–97.
- Santoro, L., Yav, S.T., Pirard, E., Kaniki, A., Arfè, G., Mondillo, N., Boni, M., Joachimski, M., Balassone, G., Mormone, A. and Cauceglia, A., 2018. Abstracts from the 2017–2018 Mineral Deposits Studies Group meeting. Applied Earth Science, 127(2), pp.46–79.
- Marquis, E., Hamp-Gopsill, L.J., Pearse, M., Marvin-Dorland, L., Knott, T.R. and Smith, D.J., 2020. Portable XRF analysis for porphyry fertility indicators, in Abstracts of the 43rd Mineral Deposits Study Group Annual Meeting held at the Natural History Museum, London, UK on 6th-8th January 2020. Appl Earth Sci 129:56-85. doi: 10.1080/25726838.2020.1755092.






